學習文章
【技術指標教學】隨機震蕩指標的買賣法則
隨機震蕩指標是常用的技術分析工具,幾乎所有的交易平台都有這個技術指標,世界各地的交易員廣泛使用該指標。它是由著名的技術分析師George Lane開發的,他的假設是在上升走勢中收盤價趨於接近K線的高端,而在下跌走勢中收盤價趨向於接近K線的低端。同樣地隨機震蕩技術指標決定了在選定的時間段內收盤價格相對於特定價格區間的位置。在上升趨勢中,收盤價趨於接近價格區間的頂部,而在下降趨勢中,價格接近底部。隨機震蕩指標由兩條線組成:%K和%D。主要的信號使用%D產生。

1. 快速隨機指標計算公式

隨機指標最常用的周期是5和14。在市場大幅波動期間,使用5或9的周期,其余市場普遍使用14為周期。

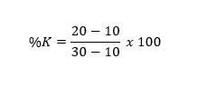
假設周期為5,最高的高點為30,最低的低點為10,當前收盤價為20,可以用上面的公式計算%K線:


%K決定了價格收盤水平與一段時期內K線波動區間的關系。例如,如果讀數高於80,則表明當前收盤價接近區間的最高的高點,即過去5日內的最高價格。另一方面,如果該指數低於20,則意味著該指數的收盤價接近區間的最低的低點,即過去5日內的最低價。

第二條線,%D,通過平滑%K來估算。簡而言之,它是%K的3個周期簡單移動平均線:
%D = SMA (%K,3)
這被稱為快速隨機指標。
2. 慢速隨機指標
快速隨機產生早期信號,很多交易員希望對%K和%D線進行進一步平滑。
對%D和%K再進行3個周期簡單移動平均,計算慢速隨機指標的公式如下:
%K = SMA(%K,3)
%D = SMA(%D,3)
隨機震蕩指標的范圍在0到100之間。讀數為0意味著最新收盤價等於所選時間段內價格區間的最低價。

讀數為100表示最新收盤價等於選定時間段內價格區間的最高價格。

該指標高於80被認為是市場已達到極度超買水平的跡象,而低於20則表明市場已跌至極讀超賣水平。
3. 買入和賣出信號
當%K和%D線都下降且下穿20超賣線時,就會產生買入信號。如果要進一步確認信號,交易員也可以等待%D線升至20以上。

相反,當%K和%D線上升並上穿超買線80時,就會產生賣出信號。如果要進一步確認信號,交易員可等到%D跌至80下方。值得一提的是,一些交易員等待%K而不是%D跌破超買水平或高於超賣水平,然後才開始入場。同樣,為了得到更快速的信號,交易員關注%K線,而不是較慢的%D線。

除了20和80的極端水平,交易員有時也會使用30和70的水平。當趨勢跟蹤指標在橫向盤整市場中失靈時,隨機震蕩指標可能及時發出信號。
4. 隨機指標和背離
隨機震蕩指標除了在0到100之間的振蕩以及穿越快線(%K)和慢線(%D)可產生信號外,背離也可用於釋放信號。
當慢線(%D)升至80以上且形成兩個連續下降頂部,同時價格繼續上漲時,就會產生看跌背離。同樣地,當%K和%D均跌破20超賣水平且%D形成兩個連續上升的底部,同時價格繼續下跌時,就會產生看漲背離。

5. 隨機指標和RSI指標結合運用
隨機震蕩指標也可與常用的相對強弱指標(RSI)結合使用,以獲得更精確的信號和預警。
例如,如果RSI位於70以上的超買區,%K和%D上穿80,那麼預示價格圖表上可能即將出現轉折點。

反之,如果隨機指標跌破20超賣水平,而RSI也低於30,那麼可能預示看漲反轉。
結論
無論是初學者,還是資深交易員,都適合使用隨機震蕩技術指標,並以此作為買賣法則。隨機震蕩技術指標在趨勢市場和區間波動市場都很有用,因為它能產生各類信號。在橫盤整理行情中,隨機指標上穿超買水平或下穿超賣水平更為常見;在趨勢市場中,震蕩指標和價格之間的背離(正背離或負背離)可能更常見。值得注意的是,當技術指標和震蕩指標與其他指標(尤其是價格本身)結合在一起時,它們將能更好地協助您分析市場,以及掌握交易機會。
更多學習資源
免責聲明: 本書面/視覺材料包含個人的觀點和想法。其內容不應被理解為包含任何類型的投資建議和/或任何交易的邀約。它並不意味著有義務購買投資服務,也不保證或預測未來的表現。FXTM富拓及其附屬公司、代理人、董事、高級職員或雇員不保證提供的任何信息或數據的准確性、有效性、及時性或完整性,也不對基於這些信息或數據的任何投資所產生的任何損失承擔任何責任。
風險警告: 交易外匯和差價合約等槓桿產品含有高風險。您所承擔的風險不應高於您的承受能力,您的損失可能會高於您的初始投資。除非您完全了解您所承受的虧損風險,否則不應進行交易。在交易時,您必須時刻考慮到您的經驗水平。如果您不清楚所涉及的風險,請尋求獨立的財務建議。